商品属性
品牌
泵体材质
商品描述


ZW无堵塞排污泵概述:
ZW无堵塞排污泵是工程技术人员吸收国内外技术,结合我国机电行业的实际情况而研制成功的,通过叶轮和泵体的新颖结构,集自吸和无堵塞排污于一身,即可象一般清水自吸泵那样不需按底阀,不需引灌水,又可抽吸含有大颗粒固体块,纤维的污物、沉淀物废矿杂质、粪便处理及一切工程污水物,完全减轻工人的劳动强度,而且使用、移动、安装方便、极少维修、性能稳定。材质分为铸钢、铸铁、不锈钢(参照IH型泵的材质表)
特点:
ZW无堵塞排污泵,又称固液泵或杂质泵。该泵水力设计独特,叶轮是缩在单独的叶轮室内,连接叶轮室的是压水室,当叶轮旋转时,泵内液体产生强烈的轴向涡流作用,使进口造成真空,出口产生扬程。因而杂质可以从压水室排出,所以它的流道是完全畅通的,其排污效果是其他自吸式排污泵无可比拟的。
用途:
可广泛适用于市政排污工程、轻工、造纸、纺织、食品、化工、电业、石油、矿山和河塘养殖等行业。它是目前国内抽送固体颗粒、纤维、浆料和混合悬浮等介质极理想的杂质泵。
型号意义:
例如:100ZW80-20PB
100-进口直径(mm )
ZW-自吸式无堵塞排污泵
80-额定流量(m3/h)
20-额定扬程(m)
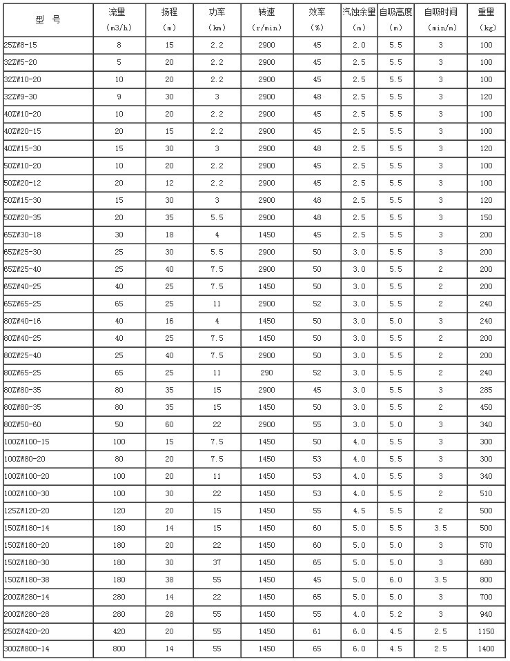
性能参数表:

质量服务承诺:
1、质量要求技术标准:产品严格按国家标准生产和检验。
2、产品出厂配置单:产品配发检验合格证和产品使用说明书。
3、产品质量保证:质保一年,按合格证出厂日期或发票日期记起。
4、包装标准:标准木箱或者加厚纸箱泡沫包装。
5、技术支持和咨询:本公司提供24小时热线咨询服务。
属于下列情况之一,只提供收费维修:
1、超过三包有效期的。
2、未按产品说明书的要求使用,维护而造成的损坏。
3、擅自涂改三包凭证及发票的。
4、无有效三包凭证及有效发票的,能够证明该产品在三包期限内的除外。
5、因不可抗拒因素造成的损坏(如地震、火灾、洪涝灾害等自然灾害而损坏的)。
6、以上所列,若有变更,以上海冠丰公司新制定的有关规定为准(新规会发布在本公司官方网站,请注意关注。
*因产品生产批次、具体型号不同,网络产品图片仅供参考,详情可联系我们的销售人员进行具体核实!



收藏 0
